ALGEBRA LINEAL - Quiz 1




Hay tres preguntas respondidas erróneamente, úsalas para descartar en tu prueba y hazme saber la repsuesta correcta en los comentarios





Comenzado ellunes, 27 de noviembre de 2017, 23:05
EstadoFinalizado
Finalizado enlunes, 27 de noviembre de 2017, 23:59
Tiempo empleado53 minutos 17 segundos
Puntos7,0/10,0
Calificación24,5 de 35,0 (70%)
Comentario -
Debe revisar nuevamente las opciones

Pregunta 1

Finalizado
Puntúa 1,0 sobre 1,0
Marcar pregunta

Enunciado de la pregunta

Contexto: Este tipo de preguntas consta de dos proposiciones, así: una Afirmación y una Razón, Unidas por la palabra PORQUE. El estudiante debe examinar la veracidad de cada proposición y la relación teórica que las une.   

Para responder este tipo de ítems, debe leerla completamente y señalar en la hoja de respuesta, la elegida de acuerdo con las siguientes instrucciones:

Marque A si la afirmación y la razón son VERDADERAS y la razón es una explicación CORRECTA de la afirmación.
Marque B si la afirmación y la razón son VERDADERAS, pero la razón NO es una explicación CORRECTA de la afirmación.
Marque C si la afirmación es VERDADERA, pero la razón es una proposición FALSA.
Marque D si la afirmación es FALSA, pero la razón es una proposición VERDADERA.


Enunciado:  
El Producto Cruz recibe también el nombre de Producto Vectorial, PORQUE a diferencia del Producto Interno ó Producto Punto, el resultado de este genera otro vector y no un escalar.  
Seleccione una:


Marque B si la afirmación y la razón son VERDADERAS, pero la razón NO es una explicación CORRECTA de la afirmación.

Marque A si la afirmación y la razón son VERDADERAS y la razón es una explicación CORRECTA de la afirmación.

Marque C si la afirmación es VERDADERA, pero la razón es una proposición FALSA.


Marque D si la afirmación es FALSA, pero la razón es una proposición VERDADERA.

Pregunta 2

Finalizado
Puntúa 0,0 sobre 1,0
Marcar pregunta

Enunciado de la pregunta

Contexto: Este tipo de preguntas consta de dos proposiciones así: una Afirmación y una Razón, unidas por la palabra PORQUE. Usted debe examinar la veracidad de cada proposición y la relación teórica que las une.

Enunciado: La ecuación del plano que pasa por el punto P(1,0,2) y tiene como vector normal a n=(2,3,4) es 2x+3y+4z=10 PORQUE un plano es el conjunto de todos los puntos Q en los que dado P (un punto en el espacio) y un vector n (normal) se satisface la ecuación  PQ.n = 0
Seleccione una:

Pregunta 3

Finalizado
Puntúa 1,0 sobre 1,0
Marcar pregunta

Enunciado de la pregunta

Contexto: Este tipo de pregunta se desarrolla en torno a un (1) enunciado y cuatro (4) opciones de respuesta (A, B, C, D). Solo una (1) de estas opciones responde correctamente a la pregunta:
     
Enunciado: Sea la matriz A que se muestra a continuación:


            1       2     4  
A=       0       4     5  
            0      0      2 

El determinante de A es:
Seleccione una:

Pregunta 4

Finalizado
Puntúa 0,0 sobre 1,0
Marcar pregunta

Enunciado de la pregunta


Contexto: Este tipo de pregunta se desarrolla en torno a un (1) enunciado y cuatro (4) opciones de respuesta (1, 2, 3, 4). Solo dos (2) de estas opciones responden correctamente a la pregunta.
1 y 2 son correctas. 1 y 3 son correctas. 2 y 4 son correctas. 3 y 4 son correctas.

Enunciado Al multiplicar el escalar 3/4 por el vector (-2,2), se obtiene un nuevo vector con el siguiente módulo y ángulo:
1. r = 2.12
2. theta = 135°
3. theta = 75°
4. r = 4
Seleccione una:

Pregunta 5

Finalizado
Puntúa 1,0 sobre 1,0
Marcar pregunta

Enunciado de la pregunta

Contexto: Este tipo de pregunta se desarrolla en torno a un (1) enunciado y cuatro (4) opciones de respuesta (A, B, C, D). Solo una (1) de estas opciones responde correctamente a la pregunta:
     
Enunciado: Podemos definir un vector como "un segmento de recta, contado a partir de un punto del espacio, cuya longitud representa a escala una magnitud, en una dirección determinada y en uno de sus sentidos" (Recuperado de http://www.oxforddictionaries.com/es/definicion/espanol/vector). 
De acuerdo a esta definición, un ejemplo de una magnitud vectorial es:
Seleccione una:

La temperatura de un horno en un momento específico.

Pregunta 6

Finalizado
Puntúa 0,0 sobre 1,0
Marcar pregunta

Enunciado de la pregunta

Contexto: Este tipo de pregunta se desarrolla en torno a un (1) enunciado y cuatro (4) opciones de respuesta (A, B, C, D). Solo una (1) de estas opciones responde correctamente a la pregunta:
Enunciado: Respecto al sistema de ecuaciones lineales
x + y = a
-3x + y = b
x – y = c
es verdad que?
Seleccione una:

Pregunta 7

Finalizado
Puntúa 1,0 sobre 1,0
Marcar pregunta

Enunciado de la pregunta

Contexto: Este tipo de pregunta se desarrolla en torno a un (1) enunciado y cuatro (4) opciones de respuesta (1, 2, 3, 4). Solo dos (2) de estas opciones responden correctamente a la pregunta.
1 y 2 son correctas. 1 y 3 son correctas. 2 y 4 son correctas. 3 y 4 son correctas.

Enunciado: Suponga que A y B son dos matrices de 4X5, que C es de 5X2, D es de 4X2 y E es de 5X4, de acuerdo a la anterior situaciones las diferentes operaciones que se pueden realizar de acuerdo a los tamaños de las matrices se representan en:
1. B.A
2. AC + D
3. AB + B
4. E(A+B)
Seleccione una:

Pregunta 8

Finalizado
Puntúa 1,0 sobre 1,0
Marcar pregunta

Enunciado de la pregunta

Contexto: Este tipo de preguntas consta de dos proposiciones así: una Afirmación y una Razón, unidas por la palabra PORQUE. Usted debe examinar la veracidad de cada proposición y la relación teórica que las une.
Enunciado: Dados los vectores u, v, w en la operación de adición
8
el resultado de la suma no se altera al cambiar las posiciones de los vectores PORQUE cumplen con la ley asociativa de la suma de vectores.
Seleccione una:

Pregunta 9

Finalizado
Puntúa 1,0 sobre 1,0
Marcar pregunta

Enunciado de la pregunta

Contexto: Este tipo de pregunta se desarrolla en torno a un (1) enunciado y cuatro (4) opciones de respuesta (A, B, C, D). Solo una (1) de estas opciones responde correctamente a la pregunta:

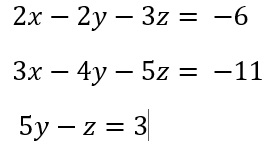
Enunciado: Hallar la solución del siguiente sistema lineal de ecuaciones:

1
Seleccione una:

Pregunta 10

Finalizado
Puntúa 1,0 sobre 1,0
Marcar pregunta

Enunciado de la pregunta


Contexto: Este tipo de preguntas se desarrollan en torno a un (1) enunciado y cuatro (4) opciones de respuesta (A,B,C,D). Solo una (1) de estas opciones responde correctamente a la pregunta



Enunciado:

Calcular el determinante de la siguiente matriz :

[125\-301\142]
Seleccione una:

Publicar un comentario

1 Comentarios